Please enable JS

Teaching Philosophy

“Learning is how you acquire new information about the world, and memory is how you store that information over time,”

says Eric R. Kandel, M.D., Nobel laureate in Physiology or Medicine.

My teaching philosophy is grounded in creating lasting learning experiences—memories—that foster lifelong skills, critical thinking, and creative problem-solving.

I strive to construct classroom environments that are interactive, discussion-friendly, and responsive to students’ questions. Students are encouraged to take ownership of their learning and develop strategies to solve design challenges independently, so that their education extends beyond the classroom. To support this, I integrate current scholarly research, define clear objectives for each course, and use assessments that measure both conceptual understanding and practical skills. Students scaffold new ideas onto prior knowledge, learn from each other, practice designer workflows, and participate in community-based projects, including client-driven and experiential learning opportunities.

My approach emphasizes conceptual problem solving through the development of critical, analytical, and perceptual skills. Students build a vocabulary of fundamental design principles through experimentation and are guided to apply these concepts to real-world design contexts, including UI/UX, branding, motion graphics, and packaging. This method balances theory with studio practice, encouraging students to expand their abilities to conceptualize, formulate, and communicate ideas effectively. Reflection, critique, and analysis of both lectures and hands-on projects reinforce their growth, preparing students to contribute confidently in professional and collaborative settings.

I am deeply committed to connecting students with local and global creative communities, fostering engagement through workshops, client collaborations, and internships. My goal is to instill not only technical proficiency and conceptual depth but also a lasting appreciation for the design discipline, preparing students to become adaptable, innovative, and socially engaged designers.

In summary, the role of an educator is to cultivate critical thinking, creative exploration, and the skills necessary to carry learning forward as lifelong practice—helping students build a foundation of knowledge, experience, and confidence that they will carry throughout their careers.

ANDREW DENNIS BAKER

FUTUREPROCESS

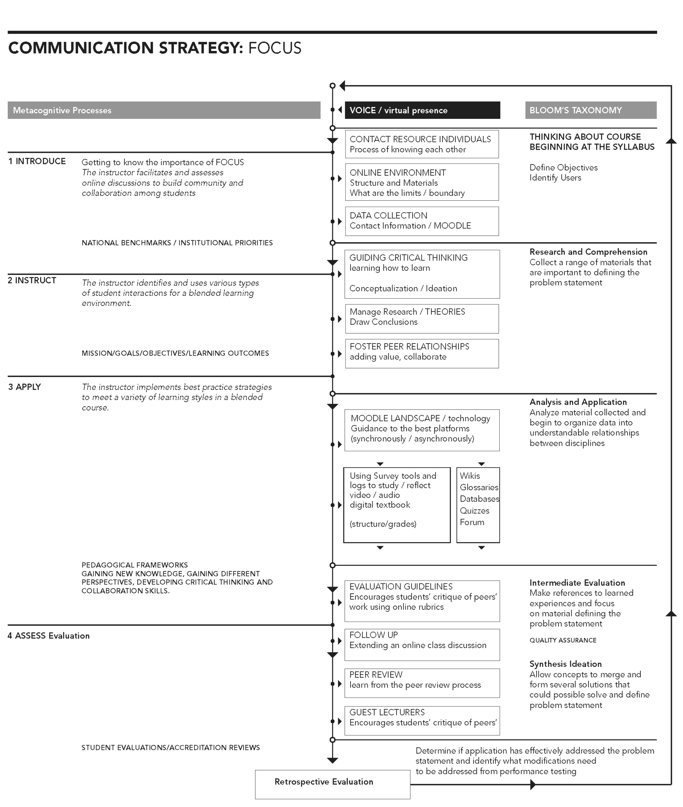
The structure of my courses are designed around a classroom environment that is conducive to learning. This is done through a combination of methods, understanding students do not learn in the same way, providing students a variety of teaching styles, and/or providing appropriate accommodations for my students as necessary.

The approach I use is to seek out methods that would respond to the many levels of intelligences. The assignment actives are focused on clarifying initial lesson objectives, the evaluations from students and peers help guide this process. Additionally, I frame the process of information around the Universal Design for Learning (UDL) concept. Each course focus on the following teaching strategies:

lecture, cooperative learning, direct instruction, discovery, and discussions.

CREATIVITY

CREATIVITY NOW IS AS IMPORTANT IN EDUCATION AS LITERACY AND WE SHOULD TREAT IT WITH THE SAME STATUS.

Sir. Ken Robinson

BUILDING MEMORIES

DEVELOPING EDUCATIONAL SKILL SETS TO THRIVE IN THE NEW AGE.

INFORMATION

AGE OF KNOWLEDGEABLE LABORER

LAUNCH INTANGIBLE

CONCEPTUAL AND CREATIVE


  • CONTRIBUTION

    TO DIVERSITY

    My teaching philosophy focuses on building a learning environment that fosters a personal approach to conceptual problem solving processes by using critical, analytical and perceptual skills. This teaching style specifically encourages a desire to broaden students’ views and expand their abilities to conceptualize and formulate ideas. This includes bringing awareness to diversity, and the impact diversity has on design.

    I have taught both at a public and private institution, and I have been fortunate to work with a mix of student backgrounds and varying levels of expertise and abilities. I highly value the blended learning environments and I teach to encourage individual expression within an atmosphere of mutual support and engagement among the learners. I continue to develop lessons that enrich the local community, promote awareness of cultural diversity, and critical think about multicultural issues. A few examples are as follows:

  • Design around the theme of tolerance: The goal was to weigh conflicting data and set personal professional priorities
  • Ecological concerns: The goal was to develop informed decision-makers, focus was given on the ecological concerns of designers
  • Social community: Students’ had to demonstrate their ability to recognize how visual images presented in mass-media can be selected and designed to present ideas in a way that promotes a certain point of view
  • Research papers: Included global and contemporary art/artists
  • Cultural event papers: Provided the opportunities to see regional contemporary and international artwork

    I am strongly committed to teaching to all levels of student diversity the techniques necessary to produce quality portfolios, to think critically and promote awareness of cultural diversity and multicultural issues.

The processes of both design practice, and design education are fascinating, and essentially coincide.

ANDREW DENNIS BAKER

I teach the way I practice, confronting my own individual work with applied methods such as semantic, syntactic and pragmatic to produce effective visual communication that contribute to the greater good of society.

ANDREW DENNIS BAKER